利益世界一家人
人类命运共同体
查询资料
加入收藏
基证字第(0016)号
微信公众号
切换导航
首页
利世是谁
党建引领
慈善项目
快讯纪实
公开公示
捐赠数据
当前位置:
首页
>
慈善项目
>
利世暖餐计划
慈善项目
利世红苗奖学
困境儿童关爱
利世暖餐计划
应急救灾援助
利世志愿服务
教育公益计划
助力乡村振兴
非遗传承保护
慈善理论研究
心理疏导实践
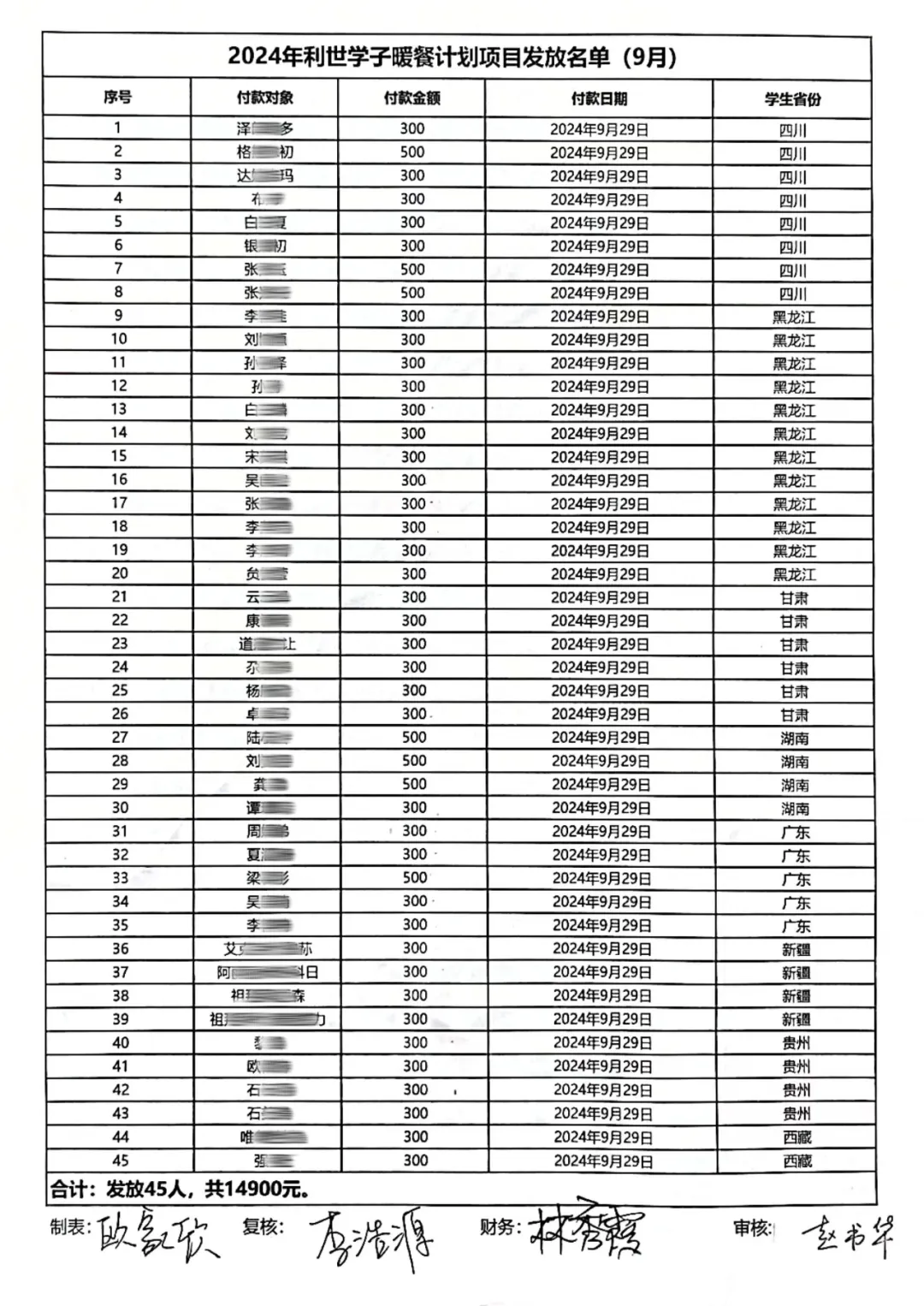
利世学子暖餐计划2024年9月餐费补贴发放公示
发布时间:2024-09-30 发布者:广州市利世慈善基金会
2024年9月期间,经过复核资料、校对名单、复核账号等一系列细致工作后,经过规范的审批流程,圆满发放“利世学子暖餐计划”餐费补贴,9月发放对象45人,发放餐费补贴14900元。
特此公示。
上一篇:
利世学子暖餐计划2024年10月餐费补贴发放公示
下一篇:
利世学子暖餐计划2024年8月餐费补贴发放公示
相关推荐
菁菁学子梦,悠悠利世情 | 2022年下半年奖学...
利世精英学子,你需要知道什么?(上)...
利世学子暖餐计划2025年12月餐费补贴发放公...
利世学子暖餐计划2023年11月餐费补贴发放公...
利世学子暖餐计划2025年9月餐费补贴发放公...
中国传统文化及非物质文化遗产弘扬与传承—...
利世红苗学子2024年高考录取喜报 | 征程启...
利世志愿者服务队管理规定