利益世界一家人
    人类命运共同体

基证字第(0016)号

微信公众号

慈善项目

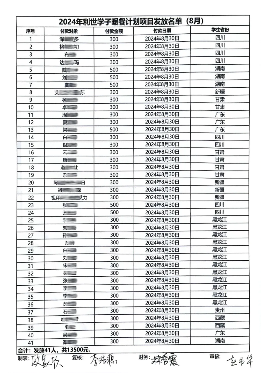
利世学子暖餐计划2024年8月餐费补贴发放公示
发布时间:2024-08-30   发布者:广州市利世慈善基金会

2024年8月期间,经过复核资料、校对名单、复核账号等一系列细致工作后,经过规范的审批流程,圆满发放“利世学子暖餐计划”餐费补贴,8月发放对象41人,2024年8月共计发放餐费补贴13500元。

特此公示。

2024年8月.webp.png